登录社区云,与社区用户共同成长
邀请您加入社区
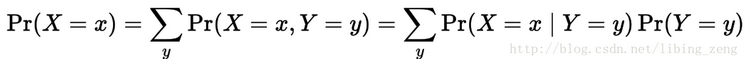
有时候,我们知道了一组变量的联合概率分布,但想要了解其中一个子集的概率分布。这种定义在子集上的概率分布被称为边缘概率分布(marginal probability distribution)。原文链接:边缘概率条件概率 联合概率 边缘概率复习...
有时候,我们知道了一组变量的联合概率分布,但想要了解其中一个子集的概率分布。这种定义在子集上的概率分布被称为边缘概率分布(marginal probability distribution)。
原文链接: 边缘概率 条件概率 联合概率 边缘概率复习
原文链接:
讨论HarmonyOS开发技术,专注于API与组件、DevEco Studio、测试、元服务和应用上架分发等。
更多推荐
智慧图书馆——基于 Flutter × HarmonyOS6.0 的读者管理模块构建
HarmonyOS智慧农业管理应用开发教程--高高种地--第13篇:销售管理与助手
构建面向 OpenHarmony 的 Flutter 响应式架构
扫一扫分享内容
所有评论(0)